Прокси Наука и Прокси Псевдонаука - Пэт Фрэнк
(речь о климатологии)
Если в формулах Вы видите кракозябры, то скорее всего внешний модуль их отображения перестал работать. В этом случае можете скачать pdf этой статьи
Гостевой пост Пэта Фрэнка (на сайте WUWT)
Стало совершенно ясно, что большинство опубликованных прокси-термометрий с 1998 года [1] совсем не научны, и в наиболее полной мере благодаря тому, что Стив Макинтайр и Росс Маккитрик показали, что они основаны на специальной (ситуативной) статистической нумерологии. Некоторое время назад у нас с Майклом Тобисом был разговор на WUWT о ненаучности прокси-палеотермометрии, начиная с комментария Майкла здесь и моего ответа здесь. Майкл быстро обратился к своим "домашним" авторитетам на Planet3.org. У всех нас была прекрасная беседа, которая закончилась тем, что модератор и одновременно спорщик Артур Смит потворствовал ложному утверждению об оскорблении с целью ввести цензуру (оскорбительный комментарий размещён полностью здесь для сильных духом).
Но в любом случае, на помощь Майклу пришли два местных эксперта по прокси-термометрии: Каустубх Тимуралай, аспирант по прокси-климатологии Техасского университета в Остине, и Кевин Анчукайтис, дендроклиматолог из Колумбийского университета. Каустубх также опубликовал свою защиту в собственном блоге здесь.
Их защита имела одну особенность: обращение исключительно к температурным прокси стабильных изотопов - ни слова в защиту термометрии на основе древесных колец, которая обеспечивает львиную долю реконструкций палеотемпературы.
Ненаучность опубликованной палеотермометрии была доказана тем, что они не защищали свой центр древесных колец; это обвинение в умышленном замалчивании.
Также не было сказано ни слова в защиту подмены физики статистикой, почти повсеместной в палеотермометрии.
Но их обращение к прокситермометрии на основе стабильных изотопов предоставило возможность для разбирательства. Вот что я предлагаю здесь: анализ реконструкции температуры по стабильным изотопным прокси, а затем краткий экскурс в дендротермометрию.
Часть I. Прокси Наука (Наука на основе косвенных данных): Термометрия стабильных изотопов
Основное внимание уделяется кислороду-18 (O-18), поскольку именно этот тяжелый атом в подавляющем большинстве случаев используется как косвенный показатель (прокси) для реконструкции прошлых температур. NASA предлагает хороший обзор О-18 здесь. Средние глобальные стабильные изотопные соотношения кислорода составляют: O-16 = 99,757%, O-17 = 0,038%, O-18 = 0,205%. Если бы не было тепловых эффектов (и кинетических изотопных эффектов), изотопы кислорода были бы распределены в минералах в точном соответствии с их естественными соотношениями. Но локальные тепловые эффекты заставляют соотношения отклоняться от среднего значения, и на этом основана термометрия с использованием стабильных изотопов.
Давайте сразу проясним две вещи: во-первых, базовая физика и химия термического фракционирования изотопов является основательной и полностью правомерной. [2-4]
Во-вторых, масс-спектрометрия (МС), используемая для определения О-18, очень точна и достоверна. В 1950 году воспроизводимость результатов МС определения O-18 уже составляла 5 частей на 100 000, [3] а в настоящее время составляет 1 часть на 100 000. [5] Эти крошечные значения представлены в виде "%o", где 1 %o = 0,1% = 0,001. Таким образом, обнаружение dO-18 при помощи масс-спектрометрии улучшилось в 5 раз с 1950 года, с (+/-)0,05%o до (+/-)0,01%o.
Соотношение O-18/O-16 в морской воде имеет зависимость первого порядка от цикла испарения/конденсации воды. H2O-18 имеет более высокую точку кипения, чем H2O-16, и поэтому испаряется и конденсируется при более высокой температуре. Вот фактическое изложение в Википедии. Разделение O-18 и O-16 в результате испарения/конденсации означает, что доля O-18 в поверхностных водах повышается и понижается с температурой.
Никто не спорит, что O-18 смешивается с CO2, образуя тяжелый углекислый газ - в основном изотопно смешанный как C(O-16)(O-18).
Растворенный CO2 находится в равновесии с угольной кислотой. Здесь представлена информация о водной химии CO2 и карбоната кальция.
Растворенный легкоизотопный CO2 [в виде C(O-16)(O-16)] становится тяжелым CO2 путем обмена кислорода с тяжелой водой, вот так:
CO2 + H2O-18 => CO(O-18) + H2O-16
Этот тяжелый CO2 попадает в карбонатные раковины моллюсков и скелеты фораминифер и кораллов пропорционально его соотношению в местных водах (за исключением случаев, когда вмешивается биология. См. ниже).
Именно поэтому в области термометрии стабильных изотопов основное внимание уделяется O-18 CO2: этот изотоп входит в состав карбоната раковин моллюсков, кораллов и фораминифер и обеспечивает запись температур, пережитых организмом.
Даже лучше: ископаемые раковины моллюсков, ископаемые кораллы и фораминиферовые отложения в кернах морского дна обещают физически реальные реконструкции O-18 палеотемператур.
Перед измерением O-18 CO2 должен быть высвобожден из карбонатной матрицы моллюсков, кораллов или фораминифер. Освобождение CO2 обычно включает обработку твердого CaCO3 фосфорной кислотой.
3 CaCO3 + 2 H3PO4 => 3 CO2 + Ca3(PO4)2 + 3 H2O
CO2 выделяется из биологического карбоната кальция и направляется в масс-спектрометр. Лабораторные методы никогда не бывают совершенными. Они сопряжены с потерями и неэффективностью, которые могут повлиять на точность и достоверность результатов. Любой, кто занимался "грязной" аналитической работой, знает об этих опасностях и имел с ними трудности. Практическая надежность прокси-температур dO-18 зависит от целостности лабораторных методов подготовки и измерения содержащегося O-18.
Палеотермометрический подход заключается в том, чтобы сначала определить стандартную зависимость между температурой воды и соотношением O-18/O-16 (обозначается dO-18 или δ18O) в осажденном карбонате кальция. Можно измерить, как O-18 в воде фракционируется в твердый карбонат в диапазоне типичных температур морской поверхности, например, от 10 C до 40 C. Составляется график карбоната O-18 против температуры.
После того как этот стандартный график будет на руках, температура регрессируется против карбоната dO-18. В результате получается уравнение с наименьшими квадратами (т.е. строится регрессия методом наименьших квадратов), которое определяет эмпирическую зависимость T:dO-18 (температуры и соотношения O-18/O-16) в данном диапазоне температур.
Затем это эмпирическое уравнение может быть использовано для реконструкции температуры воды, если известно содержание карбоната O-18. Таков принцип.
Меня интересует вопрос, дает ли полный физико-химический метод точные значения температуры. Те, кто читал мою статью "Неопределённость средней глобальной температуры" - pdf (перевод будет попозже) - о пренебрежении систематической ошибкой в записи температуры приземного слоя воздуха, поймут "почему" следует сосредоточиться на ошибке измерения. Это первая и минимальная ошибка, входящая в любую величину, определенную эмпирически. Это делает вопрос о пределах ошибки в O-18 карбонатных прокси-температурах первым и основным.
Итак, как этот метод работает на практике?
Начнем с классики: Дж. М. МакКрей (1950) "Об Изотопной Химии Карбонатов и Палеотемпературной Шкале" - J. M. McCrea (1950) "On the Isotopic Chemistry of Carbonates and a Paleotemperature Scale"[3], которая является частью докторской работы МакКрей.
Работа МакКрея представлена довольно подробно, чтобы показать подход, который я использовал для оценки ошибок. После этого я обещаю быть более кратким. Ничто ниже не является критикой абсолютно превосходной работы МакКрея, равно как и критикой других авторов и работ по O-18, о которых пойдет речь далее.
МакКрей провел поистине героическую и новаторскую экспериментальную работу по созданию метода определения температуры по косвенным данным О-18. Вот его нарисованный от руки график стеклянного аппарата, используемого для получения CO2 из карбоната. Я сделал аннотацию, чтобы обозначить некоторые детали:

График 1: Стеклянная система труб Дж. МакКрея для получения CO2 для анализа O-18.
Я работал с подобными стеклянными газовыми/вакуумными системами с притертыми стыками матового стекла, и возможность утечки, трещины или аварии постоянно присутствует.
МакКрей разработал метод, осаждая карбонат dO18 при различных температурах из морских вод, полученных у Восточного Орлеана, штат Массачусетс, на атлантической стороне Кейп-Кода и у Палм-Бич, штат Флорида. Затем карбонат O-18 химически разлагался с выделением O-18 CO2, который анализировался на масс-спектрометре с двойной фокусировкой, который они, по-видимому, создали сами.
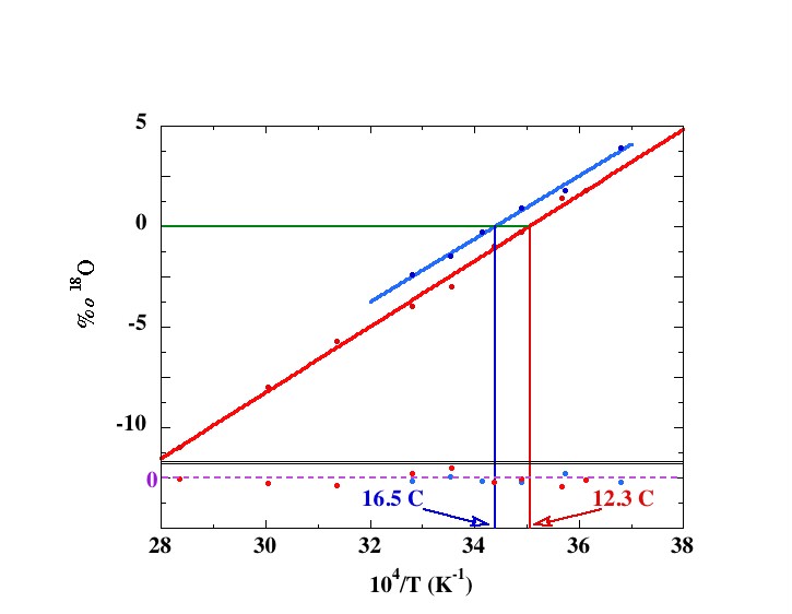
Синие и красные линии на графике ниже показывают его результаты (таблица X и график 5 в его статье). %o O-18 - это отклонение его экспериментальных образцов от его стандартной воды.

График 2, McCrae, 1950, оригинальная подпись (цвет модифицирован): "Изменение изотопного состава CaCO3(s) в зависимости от обратной величины температуры осаждения из H2O (серия Кейп Код (красный); серия воды Флориды (синий))." Вертикальные линии интерполируют температуры при %o O-18 = 0,0. Внизу: Цветовая кодировка разброса экспериментальных точек вокруг нулевой линии (пунктир фиолетового цвета).
Линии представляют собой линейную аппроксимацию методом наименьших квадратов, и они почти точно воспроизводят данные МакКрея (T в Кельвинах):
Флорида: МакКрей: d18O=1.57 x (10/T)-54.2;
Метод наим. квадратов: d18O=1.57 x (10/T)-53.9; r=0.994.
Кейп Код: МакКрей: d18O=1.64 x (10/T)-57.6;
Метод наим. квадратов: d18O=1.64 x (10/T)-57.4; r=0.995.
(r - коэффициент детерминации)
О своих результатах МакКрей писал следующее: "Соответствующие солености 36,7 и 32,2%о делает неудивительным различие в кислородном составе карбоната кальция, полученного из этих двух вод при одинаковой температуре". (выделение жирным добавлено)".
Температура кипения воды повышается с увеличением количества растворенной соли, что, в свою очередь, влияет на относительную скорость испарения H2O-16 и H2O-18. Соленость морской воды может также изменяться в результате притока пресной воды (в результате осадков, речного или прямого стока), восходящих вод, смешения волн и течений. Соотношение O-16/O-18 в пресной воде, в восходящих водах или в дальних вод, переносимых течениями, может отличаться от местного морского соотношения. В результате морские воды одной и той же температуры могут иметь разные доли O18. Разъединить влияние температуры и солености в морском соотношении O-16/O-18 может быть трудно или невозможно при палеореконструкциях.
Горизонтальная зеленая линия при %o O18 = ноль пересекает линии Флориды и Кейп-Кода при различных температурах, представленных вертикальными нисходящими к оси абсцисс. Они показывают, что один и тот же dO-18 дает разницу в 4 C, в зависимости от того, какое уравнение вы выберете, при этом очевидно T коварирует с изменением солености на 0,045%o (36,7%o во Флориде, 32,2%o в Кейп Коде)
Это означает, что если получать палеотемпературу, применяя конкретное уравнение dO18:T к палеокарбонатам, и не знать палеосоленость, то полученная палеотемпература может быть неопределенной на целых (+/-)2 C из-за скрытой систематической ковариации (соленость).
Но меня интересует экспериментальная ошибка. Из этих графиков можно оценить разброс точек в самом физико-химическом методе как разброс вокруг установленных линий значений наименьших квадратов. Точечный разброс строится вдоль фиолетовой нулевой линии в нижней части Графика 2. В пересчете на температуру разброс составляет (+/-)1 C для данных по Флориде и (+/-)1,5 C для данных по Кейп-Коду.
Все данные были определены МакКреем в одной и той же лаборатории, с использованием одного и того же оборудования и одного и того же протокола. Поэтому правомерно объединить два набора ошибок на Графике 2 для определения их среднего значения и результирующей средней неопределенности в любой полученной температуре. Стандартное отклонение объединенных ошибок составляет (+/-)0,25 %о О-18, что приводит к средней неопределенности температуры (+/-)1,3 С. Это произошло в идеальных лабораторных условиях, когда температура воды была известна из прямого измерения, а морская фракция О-18 была измерена независимо.
Далее, необходимо узнать, являются ли эти ошибки систематическими или случайными. Случайные ошибки уменьшаются по формуле \(1/\sqrt{N}\), где N - число повторений анализа. Если ошибки случайны, то можно надеяться на очень точное измерение температуры, просто повторив определение dO-18 достаточное количество раз. Например, в работе МакКрея 25 повторений уменьшают среднюю ошибку в любой отдельной температуре на 1,3/5 => (+/-)0,26 C.
Чтобы преодолеть разделение между случайной и систематической ошибкой, я сгруппировал разброс точек вдоль промежутка в (+/-)3 стандартных отклонения = с вероятностью 99,7 % он включает полный диапазон ошибок. Выбросов не было, то есть весь разброс уместился в границах 99,7 % доверительного интервала. Всего 15 точек, что не является хорошей статистической выборкой, но мы работаем с тем, что у нас есть. На Графике 3 показана гистограмма разброса точек (гистограмма распределения ) и подгонка под нормальное распределение (Гауссово распределение). Он немного загроможден, но вы потерпите.

График 3: Данные МакКрея, 1950: (синие точки), разброс точек из Графика 2; красная линия - двухгауссова подгонка к разбросанным точкам; пунктирные зеленые линии - подогнанные под разброс два нормальных распределения. Тонкие фиолетовые точки и линия: отдельно разброс точек Кейп-Кода; тонкая синяя линия и точки: отдельно разброс точек Флориды.
Первое, что бросается в глаза, это то, что точки распределены не совсем нормально. Это сразу говорит о том, что ошибка измерения является систематической, а не случайной. Вариант с подгоном двух нормальных распределений довольно хорош, но его не следует воспринимать как нечто большее, чем просто удобное числовое выражение. Независимый набор точек разброса измерений из другого набора экспериментов вполне может потребовать другого набора нормальных распределений.
Два нормальных распределения говорят о, по крайней мере, двух видах экспериментальной ошибки, действующих одновременно. Две тонкие линии отдельных экспериментов распределены по ширине (общего) разброса. Это показывает, что в разбросе точек в каждом наборе присутствуют оба вида ошибок одновременно. Но обратите внимание, что два набора данных не участвуют эквивалентно. Эта неэквивалентность снова указывает на систематическую ошибку измерения, которая, очевидно, не повторяется неизменно.
Неопределенность от систематической ошибки измерения не уменьшается по формуле \(1/\sqrt N\). Ошибка не вызывает постоянный сдвиг и не исчезает при вычислении разницы между наборами данных. Она переходит в конечное значение как \((+/-)\sqrt {\frac{(сумма\space N \space ошибок)}{N-1}}\).
Ошибка в любой новой прокси-температуре, полученной с помощью тех методов, вероятно, будет находиться где-то в пределах огибающей Графика 3, но экспериментатор не будет знать, где именно. Это означает, что единственный способ честно представить результат - сообщить о средней систематической ошибке, а это будет T(+/-)1,3 C.
Эта оценка консервативна, поскольку МакКрей отметил: "Среднее отклонение отдельного результата от этого соотношения составляет 0,38%о.", что эквивалентно средней ошибке (+/-)2 C (я рассчитал 1,95 C; результат МакКрея). Позже МакКрей написал: "Среднее отклонение отдельного экспериментального результата от этого соотношения составляет 2°C в только что описанной серии (экспериментов) медленного осаждения."
Эксперименты по медленному осаждению были тестами с водой Кейп-Кода и Флориды, показанными на Графике 2, и МакКрей упомянул их палеотермическое значение в конце своей работы: "Отмечено, что изотопный состав карбоната кальция, медленно образующегося из водного раствора, обычно такой же, как и у организмов при той же температуре."
Любой, кто использует стандартные уравнения МакКрея для реконструкции палеотемпературы dO-18, должен включать (обозначать) экспериментальную неопределенность, скрытую в них. Однако ими неизменно пренебрегают. Ниже я приведу пример.
Другая классика методологии - Санг-Тае Ким и др. (2007) "Фракционирование изотопов кислорода между синтетическим арагонитом и водой: Влияние температуры и концентрации Mg2+".[6]
Ким и др. измерили связь между температурой и включением (встраиванием) dO-18 в арагонит - форму карбоната кальция, встречающуюся в раковинах моллюсков и кораллов (другая типичная форма - кальцит). Они откалибровали зависимость T:dO-18 при пяти температурах, 0, 5, 10, 25 и 40 C, что охватывает весь диапазон температуры поверхности моря. На Графике 4a показаны их данные.

График 4: a. Синие точки: Калибровка соотношения T:dO-18 арагонита, экспериментальные точки из Ким и др., 2007; фиолетовая линия: линия подгонки методом наименьших квадратов. Ниже: Зеленые точки - остаток (отклонение), представляющее экспериментальный разброс точек, 1-сигма = (+/-)0.21. b. гистограмма 3 сигм экспериментального остатка (отклонения) (точки) и 3-гауссовой подгонки (фиолетовая линия). Тонкие цветные линии плюс точки - это отдельные гистограммы четырех поднаборов данных, составляющих общую сумму.
Альфа в "ln-alpha" ( \(ln\ \alpha\) ) - это "фактор фракционирования" О-18, который представляет собой отношение соотношений О-18. Звучит сложно, но это просто (соотношение О-18 в карбонате, деленное на соотношение О-18 в воде): {[(O-18)c/(O-16)c] / [(O-18)w/(O-16)w]}, где "c" = карбонат, а "w" = вода.
Линия наименьших квадратов на Графике 4a имеет вид 1000 x ln-alpha = 17,80 x (1000/T)-30,84; R = 0,99, что почти точно воспроизводит опубликованную линию 1000 x ln-alpha = 17,88 x (1000/T)-31,14.
Зеленые точки в нижней части Графика 4a - это остатки (отклонения от линии наименьших квадратов), представляющие собой разброс экспериментальных точек. Они имеют стандартное отклонение 1 сигма = (+/-)0,21, что соответствует экспериментальной неопределенности (+/-)1 C.
На Графике 4b представлена гистограмма остатков (разброса от линии наименьших квадратов) точек части a, разбросанных вдоль отрезка (+/-)3-сигма. Фиолетовая линия представляет собой трехгауссовую подгонку к гистограмме, но точка -0,58;3 исключена, поскольку она дестабилизирует подгонку. В любом случае, экспериментальные данные, по-видимому, искажены (загрязнены) по крайней мере тремя составляющими расхождения, что опять же подразумевает систематическую ошибку.
Отдельные поднаборы данных показаны тонкими цветными линиями на Графике 4b. Все они распределяются, по крайней мере, по двум из трех экспериментальных составляющих расхождения, но не эквивалентно. Это еще раз означает, что каждый набор данных уникально загрязнен систематической ошибкой измерения.
Ким и др. сообщили о меньшей аналитической ошибке (+/-)0,13, что эквивалентно неопределенности в T = (+/-)0,6 C. Но их (+/-)0,13 - это аналитическая точность масс-спектрометрического определения фракций O-18. Это не общий экспериментальный разброс. Остаточный разброс точек (разброс отклонений) является лучшей метрикой неопределенности, потому что уравнение Ким и др. представляет собой соответствие (подгонку) всем экспериментальным данным, а не только фракциям O-18, найденным масс-спектрометром.
Любой исследователь, использующий уравнение dO-18:T из Ким и др., 2007 для реконструкции палеотемпературы, должен внести в свой результат неопределённость в размере по крайней мере (+/-)0,6 C, а лучше (+/-)1 C.
Я провел аналогичный анализ разброса экспериментальных точек в нескольких исследованиях, использованных для калибровки температурной шкалы T:O-18. Вот краткое изложение результатов:
Study______________(+/-)1-sigma______n_____системная ошибка?____Источник.
McCrae________________1.3 C_________15_____Да________[3]
O’Neil_________________29 C_________11______?________[7]
Epstein_______________0.76 C________25______?_________[8]
Bemis________________1.7 C_________14______Да________[9]
Kim__________________1.0 C_________70______Да________[6]
Li____________________2.2 C__________5______________[10]
Friedman______________1.1 C__________6______________[11]
Эксперимент О'Нила проходил при температуре 0-500 С.
Все представленные неопределенности представляют собой только разброс точек измерения, который часто вёл себя как систематическая ошибка. Разброс точек измерения O'Neil 1969 был неопределенным, а знак вопроса для исследования Эпштейна обсуждается ниже.
Эпштейн и др. (1953) выбрали для своих калибровочных данных T:dO-18 полином второго порядка, а не прямую линию наименьших квадратов. На Графике 5 показаны их данные с полиномиальной подгонкой, а для сравнения - с прямой линией наименьших квадратов.

График 5: Данные Эпштейна, 1953 г. подогнаны под полином второго порядка (R = 0,996; сигма остатков (отклонений)= (+/-)0,76 C) и линию наименьших квадратов (R = 0,992; сигма остатков (отклонений) = (+/-) 0,80 C). Вставки: гистограммы разброса точек плюс гауссовы подгонки; справа вверху - полиномиальная, слева внизу - линейная.
Разброс вокруг полинома был довольно гауссовым, но оставил выброс за пределам 3-х сигм на уровне 2,7 C. Подгонка методом наименьших квадратов показала себя почти так же хорошо, и поместила выброс полинома в пределах доверительной границы 3-х сигм. Гистограмма разброса линейной подгонки потребовала двух гауссовых кривых и оставила неподходящую точку при 2,5 сигма (-2 C).
У Эпштейна не было веских статистических причин для выбора полиномиальной, а не линейной подгонки, и он не упомянул о своем обосновании. Полиномиальная подгонка ближе к высокотемпературной конечной точке при 30 C, но линейная подгонка ближе к низкотемпературной конечной точке при 7 C, и была так же хороша для точек данных между этими крайностями. Таким образом, подгонка более высокого порядка, возможно, была попыткой сохранить точку при 30 C.
Прежде чем представить применение этих уроков, я хотел бы показать обзорную статью, в которой сравниваются все различные калибровочные уравнения dO-18:T, используемые в настоящее время: Б. И. Бемис, Х. Дж. Спиро, Дж. Бижма, и Д. У. Ли "Переоценка изотопного состава кислорода планктонных фораминифер: экспериментальные результаты и пересмотренные палеотемпературные уравнения" - B. E. Bemis, H. J. Spero, J. Bijma, and D. W. Lea, Reevaluation of the oxygen isotopic composition of planktonic foraminifera: Experimental results and revised paleotemperature equations. [9]
Эта работа особенно ценна тем, что в ней рассматриваются более ранние уравнения, использовавшиеся для моделирования соотношения T:dO18.
На Графике 6 ниже воспроизведен аннотированный график 2 из Бемис и др. На нем сравниваются несколько калибровочных уравнений T:dO-18 из различных лабораторий. Они имеют схожие наклоны, но смещены. В результате один уровень dO-18 предсказывает разную температуру в зависимости от того, какое калибровочное уравнение выбрано. График аннотирован парой очень показательных линий падения.

График 6: Оригинальная надпись "Сравнение прогнозов температуры с использованием новых отношений температура:dO-18 фораминифер O. universa и G. bulloides и опубликованных уравнений палеотемпературы. Несколько опубликованных уравнений обозначены для справки. Уравнения, представленные в данном исследовании, предсказывают более низкие температуры, чем большинство других уравнений. Температуры были рассчитаны с использованием поправок VSMOW к VPDB, перечисленных в Таблице 1 для значений dO-18w.".
Зеленые нисходящие линии показывают, что одна температура ассоциируется со значениями dO-18 в пределах 0,4 %о. Это примерно в 10-40 раз больше, чем точность измерения dO-18 масс-спектрометром. В качестве альтернативы, горизонтальные красные продолжения показывают, что одно измерение dO-18 предсказывает температуру в диапазоне ~1,8 C, что представляет собой неопределенность (+/-)0,9 C в выборе стандартов.
1,8 C исключает три линии, обозначенные 11-Ch, 12-Ch и 13-Ch. Они относятся к G. bulloides с 11-, 12- и 13-камерными раковинами. Включая их, разброс температур при одном dO-18 составляет ~3,7 C (пунктирная красная линия).
У фораминифер G. bulloides количество камер раковины увеличивается с возрастом. Удельный вес увеличивается с ростом числа камер, заставляя G. bulloides погружаться в более глубокие воды. В более поздних камерах находятся пробы воды, отличные от ранних, и включают соотношение О-18 на глубине. Три разные линии показывают, что вертикальное изменение dO-18 существенно, и подразумевают ложный разброс в T около 0,5 C.
Вот что говорят по этому поводу Бемис и др. (стр. 150): "Хотя большинство из этих соотношений температура:d18O кажутся похожими, температурные реконструкции могут отличаться на целых 2 C при изменении температуры окружающей среды от 15 до 25 C."
Эти "2 C" показывают более высокий уровень систематической ошибки, которая проявляется в виде вариаций между различными уравнениями реконструкции температуры. Эта ошибка должна быть включена как часть заявленной неопределенности, когда любую из этих стандартных линий используют для определения палеотемпературы.
Некоторые вариации в стандартных линиях также обусловлены сопутствующими факторами, такими как соленость и активность фотосинтетических фораминиферальных симбионтов.
Бемис и др. обсуждают эту проблему на странице 152: "Неравновесные значения d18O в планктонных фораминиферах никогда не были адекватно объяснены. Недавно лабораторные эксперименты с живыми фораминиферами показали, что фотосинтетическая активность водорослей-симбионтов и концентрация карбонатных ионов ([CO32-]) в морской воде также влияют на значения d18O раковин. В этих случаях увеличение фотосинтетической активности симбионтов или [CO32-] приводит к уменьшению значений d18O раковины. Учитывая противоречивость реконструкций SST (температуры морской поверхности), полученных с помощью существующих уравнений палеотемпературы, и недавно выявленные параметры, контролирующие значения d18O раковин, существует явная необходимость пересмотреть соотношение температура:d18O для планктонных фораминифер."
Бемис и др. таким же образом вдумчивы и скромны на протяжении всей своей работы. Они представляют беспристрастный обзор литературы. Они обсуждают сильные стороны и подводные камни в этой области, а также описывают, где еще нужно поработать. Другими словами, они занимаются честной наукой. Контраст между их подходом и пастишем заявлений на миллионы долларов и статистических маневров, которыми переполнена палеотермометрия, основанная на идее (движимая идеей) антропогенного глобального потепления (АГП), не может быть более разительным.
Когда межметодологический ~(+/-)0,9 C разброс стандартных уравнений T:dO-18 добавляется как среднеквадратичное к средней ошибке измерения (+/-)1,34 C из сводной таблицы, суммарная 1-сигмальная неопределенность в температуре dO-18 =(+/-)√(1. 34+0.9)=(+/-)1.6 C. Это не включает в себя никаких дополнительных невидимых эффектов, связанных с окружающей средой, которые могут исказить палео-O18 соотношение, например, сдвиги муссонов, солености или апвеллинга (подъём глубинных вод океана к поверхности).
Неопределенность (+/-)1,6 C уже в 2 раза больше, чем общепринятые 0,8 C потепления 20-го века. T:dO-18 прокси совершенно не способны определить, является ли недавнее изменение климата исторически или палеонтологически необычным.
Теперь давайте посмотрим на знаменитую реконструкцию температуры на основе прокси dO-18 Саргассова моря, сделанную Кейгвином: (1996) "Малый Ледниковый период и Средневековый теплый период в Саргассовом Море" - Keigwin (1996), "The Little Ice Age and Medieval Warm Period in the Sargasso Sea". [12] Реконструированная палеотемпература Саргассова моря опирается на кальцит G. ruber. У G. ruber есть фотосинтетические симбионты, которые вызывают артефакты T:dO-18, упомянутые Бемисом и др. Кейгвин - хороший ученый и попытался учесть это, применив среднюю поправку для G. ruber. Но удаление среднего смещения (average bias) эффективно только тогда, когда огибающая ошибки (error envelope, полоса погрешности) случайна вокруг постоянного смещения. Вычитание среднего смещения из систематической ошибки не уменьшает ширину неопределенности и может даже увеличить общую ошибку, если систематическое смещение в вашем наборе данных отличается от среднего смещения. Кейгвин также предположил среднюю соленость 36,5%о на всем протяжении, что может быть или не быть действительным.
Более того, на реконструкции не показаны планки ошибок. Кейгвин сообщил об изменениях палеотемпературы на 1 C или 1,5 C, что подразумевает температурное разрешение (точность измерения температуры) с меньшими ошибками, чем эти значения.
Кейгвин использовал уравнение T:dO-18, опубликованное Шеклтоном в 1974 году,[13] чтобы превратить свои измерения dO-18 в Саргассовых G. ruber в палеотемпературы. К сожалению, Шеклтон опубликовал свое уравнение в журнале Международного коллоквиума французского C.N.R.S., и ни я, ни мой французский знакомый (спасибо Элоди) не смогли получить эту статью. Без нее нельзя напрямую оценить разброс точек измерения.
Однако в 1965 году Шеклтон опубликовал работу, демонстрирующую его методику получения высокоточных измерений dO-18. [14] Высокоточный разброс Шеклтона должен быть минимальным разбросом в его уравнении соотношения T:dO-18 1974 года .
Шеклтон в 1965 году провел пять одинаковых измерений dO-18 в пяти отдельных образцах одного куска итальянского мрамора (мрамор - это карбонат кальция). Вот его таблица результатов:
Реакция No. _1____2____3____4____5____Среднее____Стандартное отклонение
Значение dO-18__4.1__4.45_4.35__4.2__4.2____4.26%___0.12%o.
Шеклтон ошибочно сообщил среднеквадратичное значение разброса точек вместо стандартного отклонения. Ничего страшного, действительная 1-сигма = (+/-)0,14%о; не сильно отличается.
По словам Шеклтона, сказанным в 1965 году: "Основная причина расхождений между последовательными измерениями заключается в сложности приготовления и обработки газа." То есть, разброс измерений обусловлен неизбежной систематической лабораторной ошибкой, которую мы уже видели выше.
Стандартное уравнение Шеклтона 1974 года T:dO-18 приведено в Баррера и др., [15] и имеет вид T = 16,9 - 4,38(dO-18) + 0,10(dO-18). Подставив в уравнение Шеклтона высокоточную 1-сигма=0,14%о, можно получить минимальную неопределенность (+/-)0,61 С для любой температуры, рассчитанной с помощью уравнения отношения T:dO-18 Шеклтона.
На ftp сайте, где размещены данные Кейгвина, можно прочитать: "Точность данных: ~1% для карбоната; ~0,1 пермил для d18-O." Таким образом, независимые измерения dO-18 Кейгвина были хороши на уровне (+/-)0,1%o.
Неопределенность в температуре, представленная разбросом Кейгвина (+/-)0,1%o в измеренном dO-18, равна (+/-)0,44 C в уравнении Шеклтона.
Суммарная неопределённость измерения прокси-температуры dO-18 Кейгвина равна квадратической сумме неопределенности в уравнении Шеклтона плюс погрешность в собственных измерениях Кейгвина по dO-18. Это (+/-)√[(0.61)+(0.44)]=(+/-)0.75 C. Это представляет собой ошибку измерения и является 1-сигма минимумом ошибки.
И вот теперь мы получаем возможность увидеть нечто, возможно, никогда ранее нигде не встречавшееся: прокси-палеотемпературный ряд с истинными, физически реальными планками систематической ошибки с 95% доверительным уровнем 2-сигма. Вот он:

График 7: Серия прокси палеотемпературных данных Кейгвина на основе dO-18 для Саргассова моря, [12], показывающая систематическую ошибку измерения 2-х сигм. Синий прямоугольник - 95% доверительный интервал с центром на средней температуре 23,0 C.
Давайте проясним, чего добился Кейгвин. Он реконструировал 3175 лет номинальной температуры поверхности Саргассова моря на основе dO-18 с точностью (+/-)1.5 C на 95% доверительном уровне. Это неопределенность в 6,5% относительно среднего значения, и это чертовски хороший результат. Я много работал в лаборатории, чтобы довести спектроскопическое титрование до такого уровня точности. Снимаю шляпу перед Кейгвином.
Но ясно, что изменения температуры поверхности моря порядка 1-1,5 C не могут быть отслежены в этих данных. Самое большее, что можно сказать, это то, что, возможно, температура поверхности моря в Саргассовом море была выше 3000 лет назад.
Если учесть неопределенность, связанную с вариацией (+/-)0,9 C среди всех различных стандартных уравнений T:dO-18 (График 6), то 95% доверительный интервал Саргассова моря расширяется до (+/-)2,75 C.
Эти (+/-)2,75 C = (неопределенность в экспериментальных измерениях d-O18) + (неопределенность в любом данном стандартном уравнении T:dO-18) + (методологическая неопределенность по всем уравнениям T:dO-18).
Таким образом, (+/-)2,75 С, вероятно, является хорошей оценкой методологического 95% доверительного интервала в любом определении палеотемпературы dO-18. Сбивающие с толку артефакты палеоизменений солености, фотосинтеза, апвеллинга и метеоритной воды привнесут в любую реконструкцию палеотемператур по dO-18 дополнительные ошибки, которые невидимы, но, возможно, имеют аналогичную величину.
В итоге, это правда, что связь T:dO18 надежно основана на физике. Однако, это не правда, что эта взаимосвязь позволила получить надежные прокси данные высокого разрешения для палеотемператур.
Часть II: Псевдонаука: Статистическая термометрия
Теперь перейдем к типичным опубликованным прокси-реконструкциям палеотемпературы. Я просмотрел репрезентативный набор из восьми исследований высокого статуса в поисках доказательств научности. Доказательством научности является то, использует ли какое-либо из них физическую теорию.
Резюме: ни одно из них не является физически обоснованным. Ни одно из них не дает температуры.
Прежде чем продолжить, необходимо сказать несколько слов о корреляции и причинно-следственной связи. Вот что по этому поводу пишет Майкл Тобис : "Если два сигнала коррелируют, то каждый из них содержит информацию о другом. Утверждать обратное просто глупо.".
В прокситермометрии много такого, и разъяснения необходимы. У Джона Олдрича есть прекрасная статья [16], описывающая битву между Карлом Пирсоном и Г. Удни Юлом по поводу того, что корреляция указывает на причинно-следственную связь. Пирсон верил в это, а Юл - нет.
На странице 373 Олдрич проводит очень важное различие: "Статистический вывод имеет дело с выводом от выборки к совокупности, в то время как научный вывод имеет дело с интерпретацией совокупности с точки зрения (в терминах) теоретической структуры.".
То есть, статистика занимается отношениями (связями) между числами. Наука делает выводы из фальсифицируемой теории.
(прим. переводчика: Фальсифици́руемость (принципиальная опровержимость утверждения, опроверга́емость, крите́рий По́ппера) — критерий научности эмпирической или иной теории, претендующей на научность. Сформулирован Карлом Поппером в 1935 году[1]. Теория удовлетворяет критерию Поппера (является фальсифицируемой и, соответственно, научной в отношении теста этим критерием) в том случае, если существует возможность её экспериментального или иного опровержения. Википедия )
Мы увидим, что приведенные ниже прокси-исследования неправомерно смешивают эти категории. Они превращают истинную статистику в ложную науку.
Ради придания остроты, здесь приведены несколько прекрасных примеров ложных корреляций, а здесь - победители конкурса ложных корреляций Университета Пердью 1998 года, включая корреляции между продажами мороженого и смертью от утопления, а также между зарплатой министров и ценой на водку. По словам Майкла Тобиса, каждый из этих коррелирующих "сигналов" очевидно содержит информацию о другом, и я надеюсь, что эта ирония ставит точку в этом вопросе.
Диас и Осуна [17] отмечают, что различие "между алхимией и наукой ... заключается в (1) спецификации строго проверенных моделей, которые (2) адекватно описывают имеющиеся данные, (3) охватывают предыдущие результаты и (4) вытекают из хорошо обоснованных теорий. (мои цифры, мое выделение жирным)".
Причинная значимость любой корреляции раскрывается только в дедуктивном контексте фальсифицируемой теории, которая предсказывает эту корреляцию. Статистика (индуктивное умозаключение) никогда, никогда, сама по себе не выявляет причинно-следственную связь.
Будет показано, что у прокси-палеотермометрия АГП отсутствуют составляющие элементы 1, 3 и 4 науки по Диасу и Осуне. Это делает ее алхимией; иначе известной как псевдонаука (лженаука).
Итак, приступим: прокситермометрия АГП:
1. Томас Дж. Кроули и Томас С. Лоури (2000) "Насколько теплым был Средневековый теплый период?". [18]
Они использовали пятнадцать серий: три серии dO-18 (прокси Саргассова моря Кейгвина, GISP 2 (Проект Ледяного покрова Гренландии 2) и серия ледяной шапки Данде), восемь серий древесных колец, запись температуры Центральной Англии (CET), серия температуры Исландии (IT) и две серии прокси-данных роста растений (фенология Китая и пыльца Мичигана).
Все пятнадцать серий были масштабированы, чтобы варьироваться между 0 и 1, а затем усреднены. Физический смысл пяти физически обоснованных серий (3 x dO18, IT и CET) был полностью проигнорирован. Все они были масштабированы до одной и той же физически бессмысленной единой границы.
Подумайте, что это значит: Кроули и Лоури взяли пять физически значимых серий, и отбросили физику. Это сделало серии пригодными для использования в прокситермометрии, связанной с АГП.
Не существует физической теории, которая переводит метрики древесных колец в температуру. Такой теории не существует, и любая точная взаимосвязь остается совершенно неясной.
Так как же тогда Кроули и Лоури преобразовали свои унифицированные средние прокси в температуру? Ну, "Две составных величины были масштабированы для согласования с инструментальной записью Джонса и др. для Северного полушария...", и это решает вопрос.
Короче говоря, пятнадцать серий были численно приведены к единой шкале, усреднены и увеличены до уровня записи измерений. Затем Кроули и Лоури заявили свои температуры с разрешением (+/-)0.05 C. Неопределенность измерений в физически реальных сериях была проигнорирована в их окончательном составном виде. Вот как нужно заниматься наукой, в стиле прокситермометрии АГП.
Какая-нибудь физическая теория используется? Нет
Строго статистический вывод? Да
Физическое содержание: никакого.
Физическая достоверность: никакой.
Температурный смысл финальной составной величины: никакого.
2. Тимоти Дж. Осборн и Кит Р. Бриффа (2006 ) Пространственные масштабы теплоты XX века в контексте последних 1200 лет [19]
Четырнадцать (серий) прокси данных - одиннадцать из них по кольцам деревьев, одна серия по dO-18 ледяного керна (Западная Гренландия) - были разделены по их соответствующему стандартному отклонению, чтобы получить общую единичную величину (единицу измерения), а затем масштабированы на записи измерений (чтобы быть вписанными в записи измерений). Физический смысл dO-18 ледяного керна был удален, а его экспериментальная неопределенность проигнорирована.
Интересно, что между 1975 и 2000 годами величина составной прокси уменьшилась по отношению к значению инструментальных наблюдений. Осборн и Бриффа не стали скрывать это снижение, к их бесконечной чести, но вместо этого написали, что это неподтверждение вызвано "ожидаемыми последствиями шума в прокси-записях.".
Я оценил "шум", сравнив его смещение относительно температурной (инструментальной) записи, и он составляет около 0,5 С. Он не появился как неопределенность на их графике. На самом деле, они искусственно подогнали средние значения прокси-серии 1856-1995 годов и записи температуры приземного воздуха, в результате чего прокси выглядят как температура. Расхождение в 0,5 C "шума" было подавлено и выглядит намного меньше, чем есть на самом деле. Фактические "шумовые" полосы ошибок в размере 0,5 C , масштабированные на температурную запись их окончательного Графика 3, сделали бы все предприятие бессмысленным (бесполезным), независимо от того, что оно в любом случае лишено научности.
Какая-нибудь физическая теория используется? Нет
Строго статистический вывод? Да
Физическая неопределенность в Т: отсутствует.
Физическая достоверность: никакой.
Температурный смысл составной величины: никакого.
3. Майкл И. Манн, Джихуа Джанг, Малкольм К. Хьюз, Рэймонд С. Брэдли, Соня К. Миллер, Скотт Рутерфорд, и Фенбиао Ни (2008) - Прокси реконструкции вариаций температуры поверхности полушарий и глобальных температур за последние два тысячелетия..” [20]
Большое количество апроксимаций различной длины и происхождения. Они включали dO-18 из ледяных кернов, спелеотем и кораллов , но в данных значительно преобладают серии древесных колец. Манн и соавторы статистически соотнесли эти серии с местной температурой в течение "калибровочного периода", скорректировали их до равного стандартного отклонения, масштабировали на записи инструментальных наблюдений запись и опубликовали составную величину, показав разрешение в 0,1 C (График 3). Их метод снова удалил и отбросил физический смысл dO-18 прокси.
Какая-нибудь физическая теория используется? Нет
Строго статистический вывод? Да
Физическая неопределенность в Т: отсутствует.
Физическая достоверность: нет.
Температурное значение (смысл) составной величины: нет.
4. Розанн Д'Арриго, Роб Уилсон, Гордон Джейкоби (2006) - О долгосрочном контексте потепления позднего двадцатого века [21]
Серии данных древесных колец с 66 участков, скорректированные по дисперсии, масштабированные на записи инструментальных наблюдений и опубликованные с разрешением 0,2 C (График 5 C).
Какая-нибудь физическая теория используется? Нет
Строго статистический вывод? Да
Физически обоснованные температурные неопределенности: нет
Физический смысл деления на (шкалы деления) 0,2 C: нет.
Физический смысл температуры по данным древесных колец: отсутствует.
Температурный смысл составной величины: нет.
5. Андерс Моберг, Дмитрий М. Сонечкин, Карин Холмгрен, Нина М. Даценко и Уибьёрн Карлен (2005) - Сильно варьирующиеся температуры Северного полушария, реконструированные из прокси данных низкого и высокого разрешения [22]
Восемнадцать прокси: Два прокси d-O18 температуры поверхности моря (d-O18 фораминифералов Саргассова и Карибского морей, и один d-O18 сталагмита (Сойлегротта, Норвегия), семь серий данных древесных колец. Плюс другие составные величины.
Прокси были обработаны с помощью захватывающего нового метода вейвлет-преобразования (он должен быть лучше), объединены, скорректированы по дисперсии, масштабированы по интенсивности в соответствии с инструментальных данных за период калибровки и опубликованы с разрешением 0,2 C (График 2 D). Следуя стандартной практике, авторы извлекли физический смысл dO-18 прокси, а затем отбросили его.
Какая-нибудь физическая теория используется? Нет
Строго статистический вывод? Да
Физические неопределенности прокси dO18 переносятся на окончательную составную величину? Нет.
Физический смысл шкалы деления 0,2 C: никакого.
Температурный смысл составной величины: никакого.
6. Б. Х. Лакмэн, К. Р. Бриффп, П. д. Джонс и Ф. Х. Швайнгрубер (1997) - Реконструкция летних температур на основе данных древесных колец с Колумбийского ледникового поля, штат Альберта, Канада, 1073-1983 г.г. [23]
Шестьдесят три региональные серии данных древесных колец, плюс 38 серий данных ископаемой древесины; использовали стандартную статистическую (не физическую) функцию калибровки-проверки для преобразования данных колец деревьев в температуру, наложили составную величину и запись инструментальных наблюдений на уровне их среднего значения 1961-1990 годов и опубликовали результат с разрешением 0,5 C (График 8). Но в тексте они сообщили об аномалиях с разрешением (+/-)0,01 C (например, в таблицах 3 и 4), а о средних аномалиях с разрешением (+/-)0,001 C. Последнее заявленное значение в 10 раз точнее, чем типичная оценка двухточечного калиброванного платинового термометра сопротивления в современном аспирационном щите в контролируемых лабораторных условиях.
Какая-нибудь физическая теория используется? Нет
Строго статистический вывод? Да
Физический смысл прокси: никакого.
Температурный смысл составной величины: никакого.
7. Майкл И. Манн, Скотт Рутерфорд, Юджин Вал и Каспар Амманн (2005) - Тестирование достоверности методов, используемых в реконструкциях климата прошлого, основанных на прокси данных [24]
Данное исследование является, отчасти, методологическим обзором рекомендуемых способов получения прокси палеотемпературы, сделанным ведущими специалистами в этой области:
Метод 1: "Метод композит-плюс-масштабирование (КПМ), когда "дюжина серий прокси данных, каждая из которых предполагается как линейная комбинация местных колебаний температуры и дополняющего "шумового" компонента, объединяются (обычно с десятилетним разрешением; ...) и масштабируются относительно серии инструментальных данных средней температуры полушария на протяжении перекрывающегося "калибровочного" интервала для формирования реконструкции (температур) полушария. (выделено мной жирным шрифтом)".
Метод 2, Реконструкция климатического поля (РКП): "В нашей реализации подхода РКП используется метод упорядоченной максимизации ожидания (УМО) Шнайдера (Schneider 2001), который был применен к РКП в нескольких недавних исследованиях. Этот метод похож на подходы, основанные на методе главных компонент (МГК), но использует многократную оценку ковариаций данных для более полного использования имеющейся информации. Как и в Рутерфорд и др. (2005), мы протестировали (i) прямое применение УМО, (ii) подход "гибридной калибровки в частотной области", который использует отдельные калибровки высоко- (короче 20-летнего периода) и низкочастотных (длиннее 20-летнего периода) компонентов среднегодовых данных, которые впоследствии объединяются в единую реконструкцию, и (iii) "поэтапную" версию УМО, в которой сама реконструкция все больше используется для калибровки последовательно более старых сегментов. (жирным выделено мной)".
Повторяя очевидное: КПМ: считается, что отображает температуру; статистическое масштабирование на запись инструментальных данных; методологическая корреляция = причинно-следственная связь. Физическая достоверность: никакой. Научное содержание: никакого.
РКП: Метод главных компонент (МГК): численный метод, лишенный внутреннего физического смысла. Главные компоненты ортогональны численно, а не физически. Числовые главные компоненты обычно представляют собой композиты нескольких разложенных на составляющие (т.е. частичных) физических сигналов неизвестной величины (неизвестного масштаба). Они не имеют конкретного физического смысла. Количественный физический смысл не может быть приписан главным компонентам на основании субъективных суждений о "температурной зависимости".
Масштабирование главных компонент на запись температуры? Корреляция = причинно-следственная связь.
Корреляция = причинно-следственная связь - возможно, самая наивная ошибка, возможная в науке. Манн и др. бессовестно раскрывают ее как опору для всей области термометрии на основе прокси данных древесных колец.
Научное содержание прокси-метода Манна-Рутерфорда-Вала-Амманна: ноль.
Наконец, почетное упоминание:
8. Роб Уилсон, Александр Тадхоуп, Филип Брохан, Кейт Бриффа, Тимоти Осборн и Саймон Тет (2006) - "Двести пятьдесят лет реконструированных и смоделированных тропических температур" [25]
Уилсон и др. реконструировали температуры поверхности моря за 250 лет, используя только записи данных по кораллам, включая dO-18, соотношения стронций/кальций, уран/кальций и барий/кальций. Я не оценивал три последних детально, но осмотра их точечного разброса достаточно, чтобы предположить, что ни один из них не даст более точных температур, чем с использованием dO-18.
Однако все температурные прокси Уилсона и др. имели реальный физический смысл. Какая прекрасная возможность подвергнуть этот метод испытанию и обсудить влияние солености, биологического неравновесия и то, как их учитывать, а также изучить все другие центральные элементы морских температур по стабильным изотопам.
Что же они сделали? Начав с примерно 60 серий прокси данных, они отбросили все те, которые не коррелировали с местными температурами. Осталось 16 прокси, 15 из которых были dO-18. Почему другие прокси не коррелировали с температурой? Роб Уилсон и др. умолчали об этом. Выбросив еще два прокси, чтобы избежать проблемы фильтрации высоких частот, они получили в итоге 14 прокси температур поверхности моря на основе данных кораллов.
После этого они применили стандартную статистическую обработку: разделили на стандартное отклонение, усреднили все прокси вместе (они использовали "процедуру вложения" ("nesting procedure"), которая корректирует длину отдельных прокси) и увеличили масштаб до записи инструментальных данных.
Почетное упоминание этих людей связано с тем, что они использовали только физически реальные прокси, а затем отбросили физический смысл всех из них.
Это ставит их впереди остальных семи примеров, которые включали в себя прокси, не имеющие вообще никакого известного физического смысла.
Тем не менее,
Какая-нибудь физическая теория используется? Нет
Строго статистический вывод? Да
Есть ли физически обоснованная методология? Нет.
Физический смысл прокси: присутствуют и учитывается, а затем отбрасывается.
Температурный смысл составной величины: никакого.
Краткое изложение: Связанная с АГП палеопрокситермометрия, повсеместно практикуемая, состоит из составных величин, которые полностью полагаются на статистические выводы и численное масштабирование. Они не только не имеют научного содержания, методология активно отбрасывает научное содержание.
Статистические методы: 100%.
Физические методы: почти нулевые (исключение составляют стабильные изотопы, но их физический смысл неизменно отбрасывается в составных палеопрокси).
Температурный смысл численно масштабированных составных величин: ноль.
Эти семь исследований являются типичными и репрезентативными для всей области прокси-термометрии, связанной с АГП. То, как это обычно практикуется, является научным фарсом. Это псевдонаука целиком и полностью.
Однако исследования стабильных изотопов - это настоящая наука. Эта область работает, и ученые, занимающиеся ею, уделяют должное внимание деталям. За сим я полностью исключаю их из своего общего осуждения области прокситермометрии АГП.
С учетом этого исследования, я теперь проверил надежность всех трех опор науки об антропогенном глобальном потеплении: Климатические модели (GCMs) здесь (расчеты здесь) , (перевод находится [здесь]()), записи приземной температуры здесь (загрузки в формате pdf, все) , (перевод ещё в работе), а теперь и реконструкции палеотемпературы на основе прокси данных.
Каждая из них полностью пренебрегает систематической ошибкой. Систематическая ошибка, которой пренебрегают, показывает, что ни один из методов - ни один из них - не в состоянии определить или отразить изменение приземной температуры за последние 150 лет.
Тем не менее, пандемическая повсеместность этого пренебрежения является центральным механизмом, благодаря которому выживает алармизм АГП. Это продолжается по меньшей мере 15 лет; для климатических моделей - 24 года. При условии профессиональной добросовестности (granting integrity), можно только сделать вывод, что ученые, их рецензенты и редакторы одинаково некомпетентны.
Краткое заключение: Когда дело доходит до заявлений о беспрецедентном "том-то" или "том-то" в недавних глобальных температурах поверхности Земли, никто не знает (не понимает) , о чем говорит.
Я уверен, что найдутся люди, которые оспорят этот вывод. Их можно пригласить сюда и привести свои аргументы.
источник статьи - https://wattsupwiththat.com/2012/04/03/proxy-science-and-proxy-pseudo-science/
Список литературы:
1. Mann, M.E., R.S. Bradley, and M.S. Hughes, Global-scale temperature patterns and climate forcing over the past six centuries. Nature, 1998. 392(p. 779-787.
2. Dansgaard, W., Stable isotopes in precipitation. Tellus, 1964. 16(4): p. 436-468.
3. McCrea, J.M., On the Isotopic Chemistry of Carbonates and a Paleotemperature Scale. J. Chem. Phys., 1950. 18(6): p. 849-857.
4. Urey, H.C., The thermodynamic properties of isotopic substances. J. Chem. Soc., 1947: p. 562-581.
5. Brand, W.A., High precision Isotope Ratio Monitoring Techniques in Mass Spectrometry. J. Mass. Spectrosc., 1996. 31(3): p. 225-235.
6. Kim, S.-T., et al., Oxygen isotope fractionation between synthetic aragonite and water: Influence of temperature and Mg2+ concentration. Geochimica et Cosmochimica Acta, 2007. 71(19): p. 4704-4715.
7. O’Neil, J.R., R.N. Clayton, and T.K. Mayeda, Oxygen Isotope Fractionation in Divalent Metal Carbonates. J. Chem. Phys., 1969. 51(12): p. 5547-5558.
8. Epstein, S., et al., Revised Carbonate-Water Isotopic Temperature Scale. Geol. Soc. Amer. Bull., 1953. 64(11): p. 1315-1326.
9. Bemis, B.E., et al., Reevaluation of the oxygen isotopic composition of planktonic foraminifera: Experimental results and revised paleotemperature equations. Paleoceanography, 1998. 13(2): p. 150Ð160.
10. Li, X. and W. Liu, Oxygen isotope fractionation in the ostracod Eucypris mareotica: results from a culture experiment and implications for paleoclimate reconstruction. Journal of Paleolimnology, 2010. 43(1): p. 111-120.
11. Friedman, G.M., Temperature and salinity effects on 18O fractionation for rapidly precipitated carbonates: Laboratory experiments with alkaline lake water ÑPerspective. Episodes, 1998. 21(p. 97Ð98
12. Keigwin, L.D., The Little Ice Age and Medieval Warm Period in the Sargasso Sea. Science, 1996. 274(5292): p. 1503-1508; data site: ftp://ftp.ncdc.noaa.gov/pub/data/paleo/paleocean/by_contributor/keigwin1996/.
13. Shackleton, N.J., Attainment of isotopic equilibrium between ocean water and the benthonic foraminifera genus Uvigerina: Isotopic changes in the ocean during the last glacial. Colloq. Int. C.N.R.S., 1974. 219(p. 203-209.
14. Shackleton, N.J., The high-precision isotopic analysis of oxygen and carbon in carbon dioxide. J. Sci. Instrum., 1965. 42(9): p. 689-692.
15. Barrera, E., M.J.S. Tevesz, and J.G. Carter, Variations in Oxygen and Carbon Isotopic Compositions and Microstructure of the Shell of Adamussium colbecki (Bivalvia). PALAIOS, 1990. 5(2): p. 149-159.
16. Aldrich, J., Correlations Genuine and Spurious in Pearson and Yule. Statistical Science, 1995. 10(4): p. 364-376.
17. D’az, E. and R. Osuna, Understanding spurious correlation: a rejoinder to Kliman. Journal of Post Keynesian Economics, 2008. 31(2): p. 357-362.
18. Crowley, T.J. and T.S. Lowery, How Warm Was the Medieval Warm Period? AMBIO, 2000. 29(1): p. 51-54.
19. Osborn, T.J. and K.R. Briffa, The Spatial Extent of 20th-Century Warmth in the Context of the Past 1200 Years. Science, 2006. 311(5762): p. 841-844.
20. Mann, M.E., et al., Proxy-based reconstructions of hemispheric and global surface temperature variations over the past two millennia. Proc. Natl. Acad. Sci., 2008. 105(36): p. 13252-13257.
21. D’Arrigo, R., R. Wilson, and G. Jacoby, On the long-term context for late twentieth century warming. J. Geophys. Res., 2006. 111(D3): p. D03103.
22. Moberg, A., et al., Highly variable Northern Hemisphere temperatures reconstructed from low- and high-resolution proxy data. Nature, 2005. 433(7026): p. 613-617.
23. Luckman, B.H., et al., Tree-ring based reconstruction of summer temperatures at the Columbia Icefield, Alberta, Canada, AD 1073-1983. The Holocene, 1997. 7(4): p. 375-389.
24. Mann, M.E., et al., Testing the Fidelity of Methods Used in Proxy-Based Reconstructions of Past Climate. J. Climate, 2005. 18(20): p. 4097-4107.
25. Wilson, R., et al., Two-hundred-fifty years of reconstructed and modeled tropical temperatures. J. Geophys. Res., 2006. 111(C10): p. C10007.